Low temperature lithium ion electrical analysis and selection
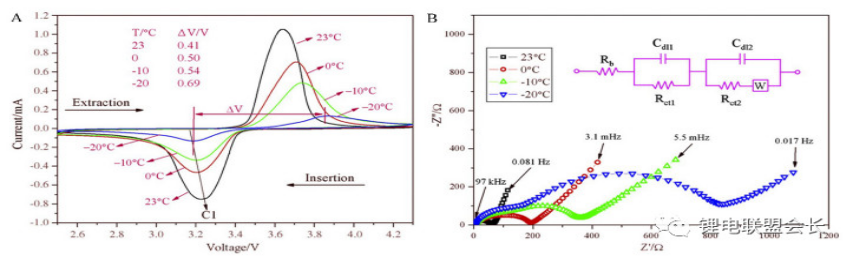
Characteristics of low temperature lithium ion battery 1.At low temperatures, the viscosity of the electrolyte increases and the conductivity decreases; 2.The electrolyte/electrode interface membrane resistance and charge transfer resistance increase; 3.The migration rate of lithium ions in the active material body is reduced. As a result, the electrode polarization is increased at low temperatures and



